Rational and non rational numbers 2
Mathematics J.S.S 3 First Term
Theme: Number and Numeration
Sub Theme: Whole Number
WEEK 9
Rational and non-rational numbers 2
Performance Objectives
Students should be able to;
- Approximating numbers to significant places
- Approximate numbers to any degree of accuracy
- Solve quantitative reasoning problems related to the approximation of numbers
Square Root of Numbers
Content
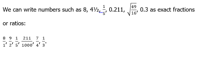
Such numbers are called rational numbers.
Numbers which cannot be written as exact fractions are called non-fractional numbers, or irrational numbers. √7 is an example of a non-rational number. √7 = 2.645 751 …., the decimals extending without end and without recurring.
π is another example of a non-rational number. Π = 3.141 592 …., again extending forever without repetition. The fraction
Subscribe now to gain full access to this lesson note
Take Me ThereClick here to gain access to the full notes.

